找回密码
 立即注册→加入我们

QQ登录

只需一步,快速开始

搜索
热搜: 下载 VB C 实现 编写
查看: 3926|回复: 15

关于无限循环小数的问题

[复制链接]
发表于 2017-5-27 09:08:10 | 显示全部楼层 |阅读模式

欢迎访问技术宅的结界,请注册或者登录吧。

您需要 登录 才可以下载或查看,没有账号?立即注册→加入我们

×
本帖最后由 乘简 于 2017-5-27 09:18 编辑

首先声明,此观点不代表0XAA55论坛与版主,仅代表作者个人观点!

证明0.9无限循环小数 = 1

因为0.9无限循环小数 = 0.3无限循环小数 * 3

而1/3 = 0.3无限循环小数

所以0.9无限循环小数 = 1/3 * 3 = 1 * 3 / 3 = 1

回复

使用道具 举报

 楼主| 发表于 2017-5-27 09:08:26 | 显示全部楼层
占楼。。。。。。
回复

使用道具 举报

 楼主| 发表于 2017-5-27 09:08:43 | 显示全部楼层
占2楼。。。。。。
回复

使用道具 举报

 楼主| 发表于 2017-5-27 09:09:14 | 显示全部楼层
占3楼。。。。。。
回复

使用道具 举报

 楼主| 发表于 2017-5-27 09:09:42 | 显示全部楼层
占4楼。。。。。。
回复

使用道具 举报

 楼主| 发表于 2017-5-27 09:10:17 | 显示全部楼层
占5楼。。。。。。
回复

使用道具 举报

发表于 2017-5-28 07:52:50 | 显示全部楼层
你可以这样证明更直接:
(我用⑨表示9是循环节, ①表示1是循环节)

一、 ∵ 1/9 = 0.① 又 0.⑨ =  0.① × 9
二、∴ 0.⑨ = (1/9)×9 = 1

也就是说:
1/9 = 0.1111111……
而 0.99999999…… = 0.11111111…… ×9
那么 (1÷9)×9 等于 1。所以 0.⑨ = 1.

用 0.3的话……我感觉你兜了个小圈子。
回复 赞! 靠!

使用道具 举报

发表于 2017-5-28 08:41:12 | 显示全部楼层
乘简 发表于 2017-5-27 09:10
占5楼。。。。。。


你还可以去QQ群里发表简单的观点,论坛上不是时常都有人的,会导致很多主题无人问津。如果站长有时间,我相信他会在QQ群里回复你的。

Ps:“首先声明,此观点不代表0XAA55论坛与版主,仅代表作者个人观点!”
话说任何帖子都是这样啊!因为一个人为集体负责之前,先要为自己负责。论坛就是大家来集思广益的地方,你一言我一语就是代表了“某个ID”的观点。
除了这里的 https://www.0xaa55.com/forum.php?mod=forumdisplay&fid=60 站方声明能够代表站方观点外,其余的帖子都是个人观点。个人发表观点首先要对自己负责。

所以。。。我觉得好多网站在用户的帖子后自动打印:“此观点不代表XX网站官方观点,仅代表作者个人观点”。简直是Bullshit。
还有的网站用“官方”二字炫晃用户,要知道论坛“官方”是为用户服务的。而不是用来卖弄权势的。要比等级,“官方”低于“用户”。
但是“官方”是论坛的特殊群体,有这个群体自己的特殊职责罢了。特殊职责意味着特殊责任。(不要以为自己是蝙蝠侠就可以乱杀无辜。)
作为一个论坛管理员,只有删起帖子来时才显得“神采奕奕”。其他时候也像大家一样发帖子,违规以后,被禁言,被删帖子。
回复 赞! 靠!

使用道具 举报

 楼主| 发表于 2017-5-28 10:58:13 | 显示全部楼层
cyycoish 发表于 2017-5-28 07:52
你可以这样证明更直接:
(我用⑨表示9是循环节, ①表示1是循环节)

确实,你这个要更简单点……
回复 赞! 靠!

使用道具 举报

 楼主| 发表于 2017-5-28 11:01:28 | 显示全部楼层
cyycoish 发表于 2017-5-28 08:41
你还可以去QQ群里发表简单的观点,论坛上不是时常都有人的,会导致很多主题无人问津。如果站长有时间,我 ...

首先,我发的这个贴子,具有一定的争议性,所以才首先声明的,以了问题,以免网站受损,我后来才知道,因为这个话题,在别的网站可是讨论了几十年都没有结果的……

而且我开这个贴子,也是因为和QQ群的人讨论了一晚上,没有得到结果,才想到,这里开贴,不过后来他介绍了我去另一个网站上看别人如何几十天,几个月,几年一直讨论下去的。各种骂声连天……
回复 赞! 靠!

使用道具 举报

发表于 2017-5-28 15:09:15 | 显示全部楼层
乘简 发表于 2017-5-28 11:01
首先,我发的这个贴子,具有一定的争议性,所以才首先声明的,以了问题,以免网站受损,我后来才知道,因 ...


我也爱和别人争论,但是当自己没有能力坚持2+2=4的时候,别人说2+2=5我也只能服从。
所以我放弃争论,用这些时间去找到2+2到底等于几。
如果最后发现2+2确实等于5也能问心无愧含笑而终。
能开心地认识到自己错了,也算是双倍加好了。

对于本帖这个问题,别人很可能会搬出微积分,搬出数论来对付你。
然后你再去啃微积分,啃完微积分啃数论,结果人家以一句:“认真你就输了”回复你。你就知道是什么滋味了。

我觉得做点自己想做的,聊点自己想聊的。趁还有能聊的机会的话,就足够了。如果我觉得有必要证明2+2=4,我会去义无反顾地证明。前提是我觉得我有必要去做。
回复 赞! 靠!

使用道具 举报

发表于 2017-5-28 15:33:04 | 显示全部楼层
你不反对的话,我再插点题外话。
不是所有精通数论,微积分的人思想都是一致的。
尤其当你的言谈损害了这些人其中某些人的面子时,他们会倾尽全力用自己的知识攻击你。
尤其是,他们会首先以“这至少是你自己思考的结果”为开场。一方面为自己抬高了地位,确定出自高彼低的地位。
另一方面用言语以接受他人的心态控制你的认知,试图达到欲擒故纵的效果。接着,他们会用自己所学的所有东西,将你驳斥得体无完肤。然而有些问题是真正的权威人士都无法解答的。对于他们来说,你需要“先死而后生,方能成大器”。如果你败下阵来,你的自我思想就彻底离开了你的大脑。

所以,没必要争论时不要争论。
回复 赞! 靠!

使用道具 举报

 楼主| 发表于 2017-6-17 12:47:49 | 显示全部楼层
cyycoish 发表于 2017-5-28 15:09
我也爱和别人争论,但是当自己没有能力坚持2+2=4的时候,别人说2+2=5我也只能服从。
所以我放弃争论,用 ...

支持你所说的每一句话。。。

而且我觉得有必要去做。。。
回复 赞! 靠!

使用道具 举报

发表于 2017-10-17 11:19:57 | 显示全部楼层
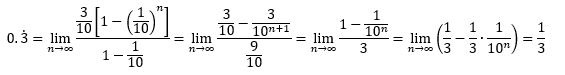
不好意思,正宗的证明方法是用求极限(你没有证明为何0.33333....=1/3)来的。
首先要清楚0.3...是什么:
Capture.JPG
它是个等比数列,则根据等比数列求和公式,并取n为无穷大,得出极限式,并解出极限:
Capture.JPG
0.9999...=1的证明同理,可以自己试试,高一数学的内容吧,根本不需要0.999...=0.333...*3来证明。

点评

支持一下,,,可是这个问题有人在www.mathchina.com上讨论了10年,并到现在还没有结果。。。  发表于 2017-10-18 12:39
回复 赞! 靠!

使用道具 举报

发表于 2018-12-6 15:16:00 | 显示全部楼层
看不明白
回复

使用道具 举报

本版积分规则

QQ|Archiver|小黑屋|技术宅的结界 ( 滇ICP备16008837号 )|网站地图

GMT+8, 2026-5-24 22:06 , Processed in 0.044525 second(s), 28 queries , Gzip On.

Powered by Discuz! X3.5

© 2001-2026 Discuz! Team.

快速回复 返回顶部 返回列表